广西2023年高职高专普通批最低投档分数线公布
08-14 09:39
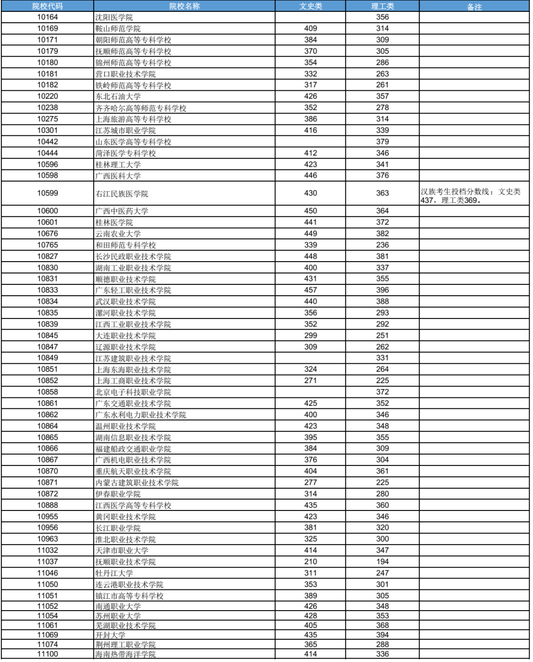
8月13日
自治区招生考试院公布
2023年普通高校招生
高职高专普通批最低投档分数线
还未被录取的考生
请把握住机会!
说明:
1.23397石家庄邮电职业技术学院(邮政班)需进行面试,按学校提供的合格名单进行投档。
2.10599右江民族医学院对少数民族考生投档比例有要求,按少数民族考生数不低于65%的比例投档。
3.表中空白处表示无相应科类招生计划或无符合条件的出档考生。












0人点赞8月13日
自治区招生考试院公布
2023年普通高校招生
高职高专普通批最低投档分数线
还未被录取的考生
请把握住机会!
说明:
1.23397石家庄邮电职业技术学院(邮政班)需进行面试,按学校提供的合格名单进行投档。
2.10599右江民族医学院对少数民族考生投档比例有要求,按少数民族考生数不低于65%的比例投档。
3.表中空白处表示无相应科类招生计划或无符合条件的出档考生。












0人点赞
评论